안녕하세요, 엔지니어 블로그의 글렌입니다.
오늘은 열저항에 대해 알아보는 시간을 가져보겠습니다.
열저항은 특정 물질의 열 전달을 방해하는 성질을 나타냅니다.
즉, 열저항이 클수록 열의 흐름(전도)가 낮습니다.
열저항이 크다 = 열의 흐름이 원활하지 않다
열저항이 작다 = 열의 흐름이 원활하다
그렇다면, 반도체 소자에서 열저항은 어떠한 파라미터로 인식될 수 있을까요?
정답은 열저항이 클수록 불리하다는 것입니다. (반비례)
반도체 소자는 내부에서 발생되는 열을 케이스에 접촉하여 방출하는 것이 일반적인 냉각 방식입니다.
따라서 열저항이 낮은 소자를 사용하는 것이 열의 전도도가 높아 냉각에 유리합니다.

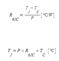
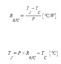
열저항(Thermal Resistance)은 와트당(W) 발생하는 온도의 변화로 정의합니다. P(전력)만큼의 열이 열원에서 발생할 때, 열원의 온도(정션온도) Tj는 전도체를 따라 전도되면서, Tc의 온도로 변화합니다.

예시) 전력소비 = 10W, 열저항 = 5˚C/W, 측정 온도 = 60˚C
Tj(정션온도) = 10W * 5˚C/W + 60˚C = 130˚C
실제 반도체 소자의 정션온도는 상기의 계산식에 의해 130도입니다.
따라서 소비되는 전력과 정션온도에 따라 디레이팅 되는 사양들을 유의하면서 소자 선정을 해야합니다.
'Hardware' 카테고리의 다른 글
| [Hardware] 전류 측정 방식 (션트 저항, 변류기, 홀센서) 각각의 원리 및 장단점 (1) | 2022.02.13 | 
|---|